Sering terjadi kondisi dimana alat Continuous Emission Monitoring System (CEMS) dipasang pada satu cerobong yang menerima dua atau lebih sumber emisi (ducting), dimana ducting ini berasal dari sumber emisi seperti boiler atau Electro Static Precipitator (ESP). Biasanya permasalahan ini terjadi di usaha dan/atau kegiatan pembangkit, walaupun ada kemungkinan terjadi juga di jenis industri yang lain.
Perlu diketahui bahwa regulasi menyatakan bahwa pengukuran/pemantauan, termasuk CEMS, harus dipasang pada setiap sumber emisi. Pemasangannya pun harus mengikuti kaidah 2D8D atau 0,5D2D, yang mana posisi lubang sampling harus terletak pada posisi dimana kondisi aliran emisinya adalah non-cyclonic, kondisi dimana arah aliran searah dengan dinding cerobong, biasanya maks 20o.
Kondisi yang banyak terjadi adalah sesuai deskripsi di atas, dimana CEMS diletakkan pada cerobong, padahal harusnya diletakkan pada ducting. Permasalahannya adalah, panjang dimensi ducting seringkali tidak memadai (kurang panjang) agar bisa menghasilkan aliran non-cyclonic. Alasan kedua adalah, mahalnya CEMS sehingga perusahaan keberatan memasang CEMS pada tiap ducting.
Solusi saat ini adalah memasang flow meter pada tiap ducting, namun demikian diperlukan validasi hasil pengukuran. Validasinya adalah membandingkan hasil pengukuran dengan hasil perhitungan. Untuk itulah kami memberikan panduan contoh perhitungan beban emisi dari hasil perhitungan, dengan asumsi data yang dibutuhkan sudah ada.
Semua contoh perhitungan disini sangat transparan dan dibuat agar mudah dipahami oleh pembaca. Contoh perhitungan mudah difahami dan dilengkapi dengan sumber literatur sehingga kami berharap pembaca dapat mengkritisinya dan memberikan masukan yang membangun demi kebaikan kita bersama.
Semoga bermanfaat bagi pembaca.
Perhitungan Debit tiap Duct
Flowmeter berupa pitot tube diletakkan pada tiap duct, dimana kedua duct terhubung menuju satu stack. Dalam contoh ini duct diasumsikan memiliki bentuk persegi sedangkan stack berbentuk lingkaran, spesifikasi dari geometri duct dan stack adalah sebagai berikut :
Tabel 1 Spesifikasi geometri Duct dan Stack
| Unit | P (m) | l (m) | Area (m2) |
| Duct Boiler 1 (D1) | 1,450 | 2,900 | 4,205 |
| Duct Boiler 2 (D2) | 1,450 | 2,900 | 4,205 |
| Stack | 12,08 |
Kemudian, dicari area dari tiap duct dan stack dengan menggunakan rumus luas.
Contoh perhitungan untuk luas duct

Tiap flowmeter diketahui data tekanan dengan detail sebagai berikut :
Tabel 2 Data Pressure Transmittance dari Flowmeter
| D1-IDF A (kPa) | D1-IDF B (kPa) | D2-IDF A (kPa) | D2-IDF B (kPa) |
| -0,06 | -0,07 | -0,11 | -0,10 |
Data tekanan ini digunakan untuk menghitung kecepatan alir gas tiap duct. Perhitungan kecepatan alir dari pitot tube menggunakan persamaan 2 didapat dari penelitian oleh (Klopfenstein, 1998)

Keterangan :
V = kecepatan alir
Kpitot = konstanta pitot tube, untuk jenis pitot standar bernilai 1
Γpitot = gas compression constant ,
hkPa = [tekanan total-tekanan static] (kPa)
d = masa jenis gas (kg/m3)
Untuk jenis pitot standar dapat dijelaskan pada gambar 1.

Gambar 1 Pitot Tube Standar, sumber : (Klopfenstein, 1998)
Berikut contoh perhitungan kecepatan alir pada D1, dimana tekanan yang digunakan adalah tekanan rata-rata dan densitas gas yang digunakan bergantung pada suhu dan komposisi gas. Densitas gas untuk kasus ini diasumsikan menggunakan densitas udara pada suhu 133°C (pengukuran) yaitu 0,869 kg/m3 (Engineering Toolbox)
Tabel 3 Densitas Udara Tiap Suhu (Engineering Toolbox)
| Suhu (oC) | Densitas (kg/m3) |
| 80 | 1 |
| 100 | 0.9467 |
| 125 | 0.8868 |
| 150 | 0.8338 |
| 175 | 0.7868 |
| 200 | 0.7451 |

Dilakukan untuk semua duct didapatkan hasil di tabel 3 Selain itu, diketahui juga dari pengukuran kecepatan alir di stack yaitu sebesar 10,80 m/s
Tabel 4 Kecepatan Alir tiap Duct dan Stack (m/s)
| D1 | D2 | Stack |
| 12,23 | 15,55 | 10,80 |
Untuk mencek keakuratan kecepatan alir digunakan perbandingan laju alir masa. Seharusnya jumlah laju alir masa di D1 ditambahkan dengan D2 sama dengan laju alir masa di stack. Laju alir massa dapat dari persamaan 3
![]()

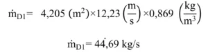
Contoh perhitungan laju alir massa pada D1

Tabel 5 Laju Alir Masa tiap Stack dan Duct (kg/s)
| Input | Output | ||
| D1 | D2 | Stack | |
| 44,69 | 56,80 | 113,37 | |
| Total | 101,5 | 113,37 | |
Terdapat perbedaan jumlah laju alir pada stack dan duct, perbedaan dan error ini kemudian dihitung

Kemudian untuk persen eror adalah ,

Hasil pengukuran dan perhitungan antara beban emisi polutan di stack dengan jumlah hasil perhitungan massa polutan di tiap duct memiliki tingkat error sekitar 10% yang mana cukup baik dan masuk akal karena <20%. Untuk itu bisa dikatakan hasil pengukuran flow meter bisa dikatakan cukup baik dan valid.
Jika menginginkan perhitungan konsentrasi tiap duct yang sama persis dengan pengukuran CEMS di cerobong, maka kita bisa lakukan normalisasi. Hasil dari perhitungan dinormalisasi dengan persen eror dapat dihitung dengan persamaan 6,

Dilakukan untuk ketiga duct dan didapat sebagai berikut
Tabel 6 Laju Alir Masa setelah Normalisasi (kg/s)
| D1 | D2 | Stack |
| 49,92 | 63,45 | 113,37 |
Kemudian, diketahui konsentrasi dari emisi berdasarkan pengukuran CEMS sebagai berikut :
Tabel 7 Konsentrasi Emisi dari Pengukuran CEMS (mg/m3)
| SO2 | NOx | Particulate | |
| CEMS | 178,48 | 1518,15 | 4,58 |
Untuk menghitung konsentrasi tiap duct diguanakn perbandingan dengan asumsi masa emisi di tiap duct sama, digunakan persamaan 7

Dilakukan untuk setiap zat dan duct dan didapatkan hasil sebagai berikut
Tabel 8 Hasil Kosentrasi tiap Duct dan Stack (mg/m3)
| SO2 | NOx | Particulate | |
| CEMS | 178,48 | 1518,15 | 4,58 |
| D1 | 202,66 | 1723,84 | 5,20 |
| D2 | 159,45 | 1356,31 | 5,77 |
Panduan contoh perhitungan beban emisi, disusun oleh: Arie Dipareza Syafei dan Shafira Nur Adiningsih
Referensi
Engineering, T. (no date) Air – Density, Specific Weight and Thermal Expansion Coefficient vs. Temperature and Pressure. Available at: https://www.engineeringtoolbox.com/air-density-specific-weight-d_600.html#google_vignette (Accessed: 2 February 2024).
Klopfenstein, R. (1998) ‘Air velocity and flow measurement using a Pitot tube’, ISA Transactions, 37(4), pp. 257–263. Available at: https://doi.org/10.1016/s0019-0578(98)00036-6.


